Home
Contact
Edit
Home
THPT
THCS
THPT FORM 2025
LaTeX
ĐẠI HỌC
KHÁC
_TÌNH YÊU TOÁN
_TỪ ĐIỂN TOÁN
_TÀI LIỆU TOÁN
KỈ NIỆM
HOÁ
ID_TOAN
Home
Lớp 10
HỆ THỨC LƯỢNG - DẠNG CHỨNG MINH ĐẲNG THỨC TRONG TAM GIÁC
HỆ THỨC LƯỢNG - DẠNG CHỨNG MINH ĐẲNG THỨC TRONG TAM GIÁC
November 10, 2023
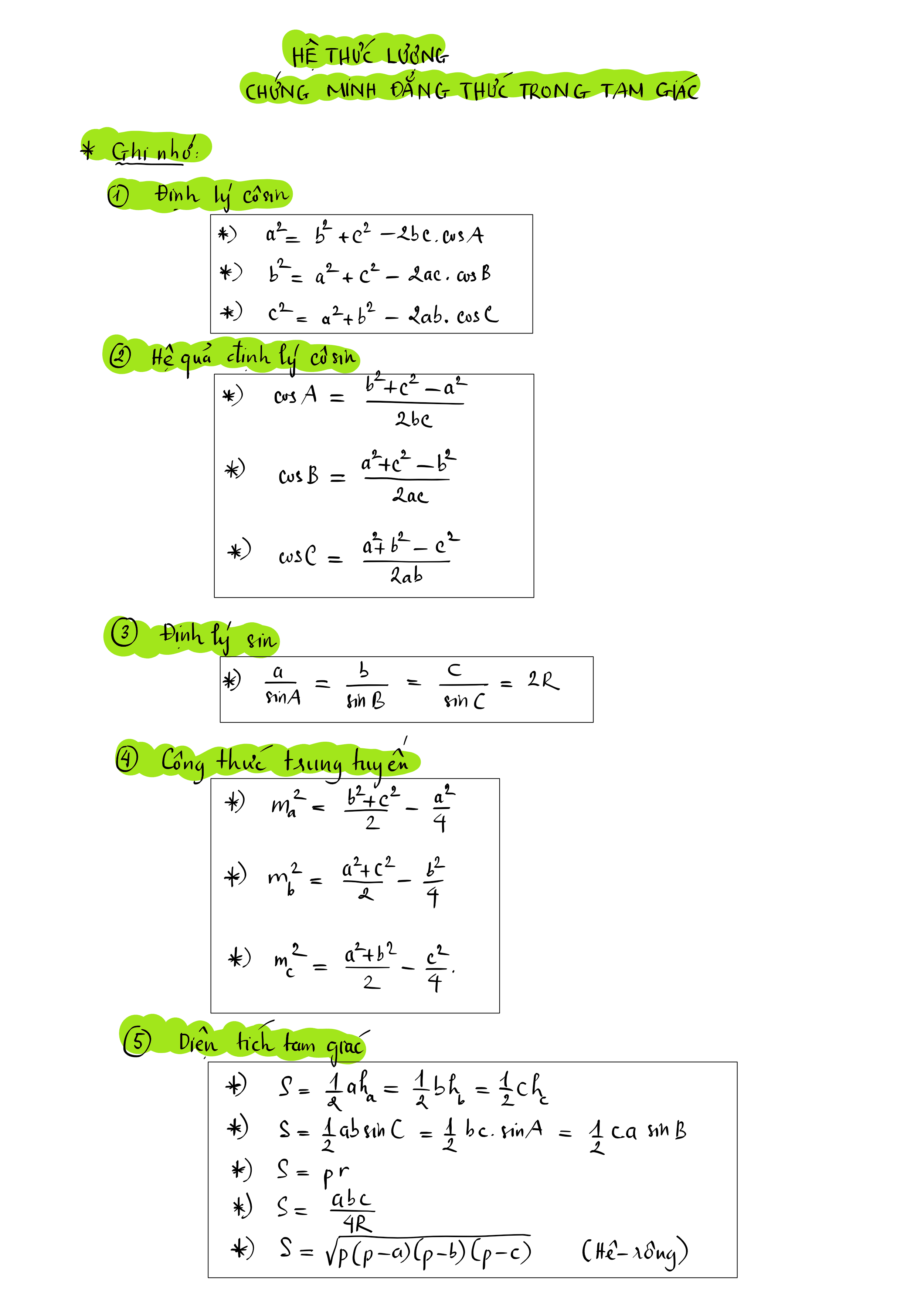
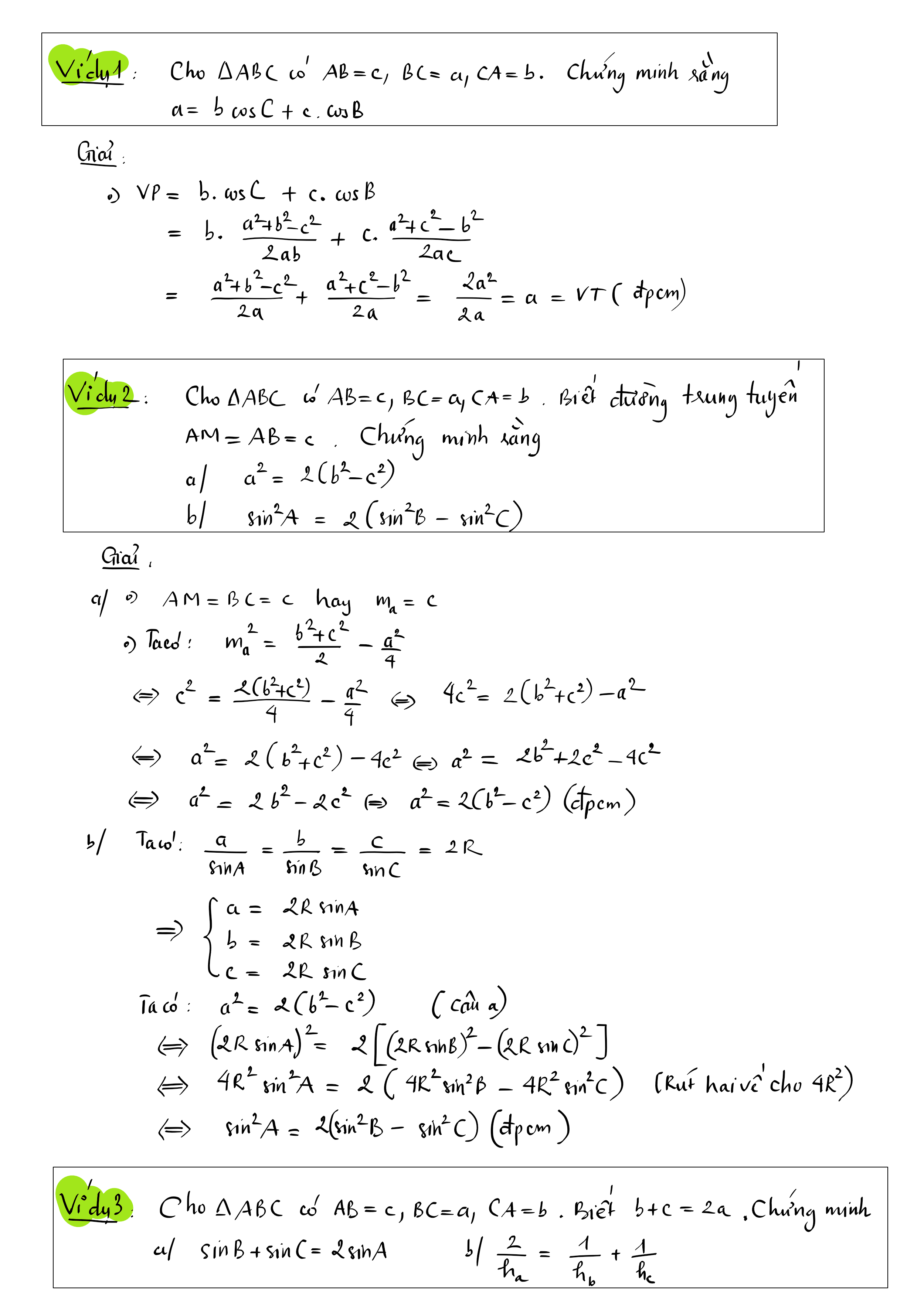
Một số ví dụ có lời giải chi tiết về dạng bài tập chứng minh hệ thức lượng trong chương trình lớp 10
Post a Comment
0 Comments
ĐỀ THPTQG MÔN TOÁN FILE WORD CÓ LỜI GIẢI
GÕ THUÊ $\LaTeX$
PHIẾU BTTN
FULL CÔNG THỨC
Tìm kiếm trong Blog
Tổng lượt truy cập
Tags
1000
90
Lớp 12
68
Lớp 11
46
Lớp 10
38
Đại học
28
LaTeX
24
Giải tích
14
Mũ-Logarit
12
Blogspot
11
Oxyz
11
bt
8
Bài toán hay
7
Lớp 9
7
etc
7
HK1 LỚP 10
6
Nguyên Hàm - Tích Phân
6
Phương trình vi phân
6
Skills Giải Toán
6
Tình Yêu Toán
6
office
6
Oxyz VDC
5
Số phức
5
Bài tập
4
Giải tích số
4
Software
4
Đại Số Tuyến Tính
4
10.000
3
5000
3
HHKG
3
Lượng Giác
3
Phiếu BTTN
3
Phương trình đạo hàm riêng
3
Tích Phân Bội
3
BTTN
2
Casio
2
Công Thức Tính Nhanh
2
Hỏi - Đáp
2
Nuôi Dạy Con
2
Rèn Luyện Tư Duy
2
Số Phức VDC
2
Toán Tiếng Anh
2
Đề Thi THPT
2
Đề thi
2
Động Lực Trong Cuộc Sống
2
Ứng dụng đạo hàm VDC
2
11 GK1
1
Code Cũ
1
Giữa HK2 lớp 10
1
HK1 LỚP 11
1
HK2 Lớp 11
1
Hoá Hữu Cơ
1
Ký Hiệu Hoá Học
1
Kỷ Niệm
1
Luận Văn
1
My Style
1
Mũ-Loga VDC
1
Nón Trụ Cầu
1
Sự Thật
1
Thần chú Toán
1
Trick
1
Tích Phân VDC
1
VB.NET
1
XS CÓ ĐK
1
Xác suất - thống kê
1
Xác suất có điều kiện
1
Ôn vào 10
1
Đơn Điệu VCD
1
Đại số đại cương
1
0 Comments
Vui lòng đăng nhập google để bình luận
Để gõ công thức toán, hãy đặt [biểu thức toán] trong dấu $$
Ví dụ: $[biểu thức toán]$